中考动态
2017各地中考陆续举行,新东方在线中考网将第一时间整理中考试题及答案,供中考生们参考。下面是《河南2017中考数学试题及答案》,更多2017年河南中考试题及答案可查看2017中考试题及答案...
来源 : 网络 06月27日 16:36 关键字 : 河南中考试题 河南中考数学试题答案
2017各地中考陆续举行,新东方在线中考网将第一时间整理中考试题及答案,供中考生们参考。下面是《广东深圳2017中考数学试题及答案》,更多2017年广东深圳中考试题及答案可查看2017中考试...
来源 : 网络 06月27日 15:09 关键字 : 深圳中考试题 深圳中考数学试题答案
2017各地中考陆续举行,新东方在线中考网将第一时间整理中考试题及答案,供中考生们参考。下面是《河南2017中考物理试题及答案》,更多2017年河南中考试题及答案可查看2017中考试题及答案...
来源 : 网络 06月27日 14:44 关键字 : 河南中考试题 河南中考物理试题答案
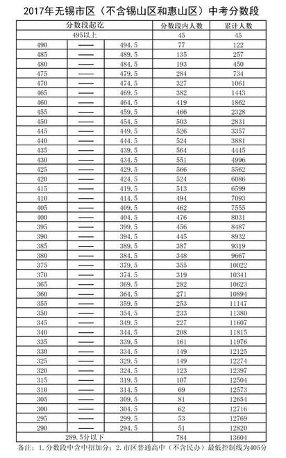
无锡2017中考分数线已经出炉,新东方在线中考网整理了《2017江苏无锡普通高中中考最低控制线405分》,供同学们和家长参考。 26日,2017年无锡市区中考分数段公布,普通高中(不含民办)...
新东方在线中考网整理了《山东烟台2017中考成绩查询时间:6月30日8点30》,供同学们和家长参考。 自6月17日起,烟台全市中考进入网上阅卷时间。经过为期十天的紧张有序工作,阅卷工作...
2017沈阳中考已经结束,新东方在线中考网整理了《辽宁沈阳2017中考成绩查询时间:预计7月11日》,供同学们和家长参考。 26日,沈阳绝大部分考生结束了中考所有科目考试,只剩下一部分...
2017北京中考已经结束了,新东方在线中考网整理了《北京2017年中考成绩查询时间:7月2日12点》,供同学们和家长参考。 26日,2017年北京中考落下帷幕。本周日(7月2日),考生可查询中...
为了方便中考生和家长参考,新东方在线中考网整理了《河南郑州2017中考成绩查询时间:7月8日》,供大家参考。 26日下午4时30分,伴随着铃声响起,郑州市区的中招考点外,等候的家长“...