上海奉贤区2015年中考数学二模试题及答案

2015-04-22 16:21:25来源:网络

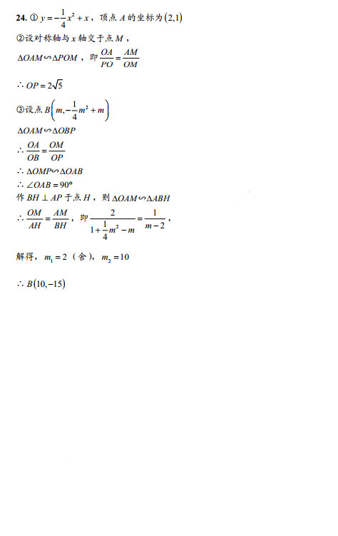
shuda2.jpg

  更多上海奉贤区2015年中考二模试题、2015年中考二模试题答案,请关注新东方在线中考网!

  来源:新东方在线论坛


为你匹配初中课程
  • 初中课程

    初一秋季课程

    新东方在线名师讲解初一语数英三科知识点

    查看详情
  • 初二

    初二秋季课程

    新东方在线名师讲解初二语数英物四科知识点

    适合人群:新初二学生

    立即测试
  • 初中课程

    初三秋季课程

    新东方在线名师讲解初三语数英物化五科知识点

    适合人群:新初三学生

    查看详情
  • 初中

    中考英语词汇测试

    40道题测一测你初中单词都掌握了吗?

    查看详情
  • 高考专业测试

    测一测 你适合填报的高考专业是什么?

    2分钟 48道题测出你最适合报考的大学专业。

    课时:4小时

    免费测试
更多>>
更多内容

初中学英语资料大礼包合集

扫描下方二维码自动领取

初中资料
更多>>
更多英语课程>>
更多>>
更多课程>>
更多>>
更多资料>>