扫码加入训练营

牢记核心词

学习得礼盒

2018年考研数学一填空题答案

2017-12-24 11:40:00来源:网络

  2018考研数学一考试考完了,成绩分数也已经无法改变,接下来不妨先看看新东方在线考研频道发布的2018考研数学一真题答案及解析,对答案、看解析,为自己估分!做好复试调剂准备。点击领取【2018考研真题解析直播课。更多2018年考研英语真题答案及解析、考研数学真题答案及解析考研政治真题答案及解析、管理类联考真题答案及解析考研专业课真题答案及解析,请关注2018考研真题答案及解析专题!

2018考研真题答案及解析(免费领直播课
公共课政治英语一英语二
数学一数学二数学三
专业课管理类联考西医综合中医综合
法硕公外日语计算机
教育学历史学心理学
经济学经济类联考二外日语
2018考研真题答案word下载

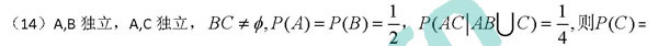
2018考研数学一真题答案及解析

考研实用工具
  • 考研历年真题

    考研近十年真题(政数英+专业课)

    冲刺备考,刷题首选!

    PDF电子资料可以下载打印附解析

    点击下载
  • 智能择校小程序

    考研智能择校小程序助力择校

    选学校选专业有难度?快速测评帮你智能规划!

    收录全国800+院校信息

    立即测试
  • 英语能力测评

    考研英语能力测试

    清晰了解自己的英语水平,英语学习打破瓶颈!

    在线测试,快速出分,专业报告!

    点击测试
  • 公开课小程序

    考研公开课小程序

    集锦名师大咖,考试精讲,免费体验!

    0元在线免费听,好课不容错过!

    点击听课
  • 公开课小程序

    考研正价课试听

    政数英+专业课+管综

    随时随地免费听,更有好礼等你领!

    点击试听
更多>>
更多内容

关注新东方在线考研服务号

获得21考研真题及答案解析

1. 打开手机微信【扫一扫】,识别上方二维码;
2.点击【关注公众号】,获取资料大礼包。

免费下:2010-2026年考研真题及答案
更多>>
更多公开课>>
更多>>
更多课程>>
更多>>
更多资料>>