2019东北三省三校一模文科数学试题及参考答案

2019-03-06 17:26:12来源:新东方在线

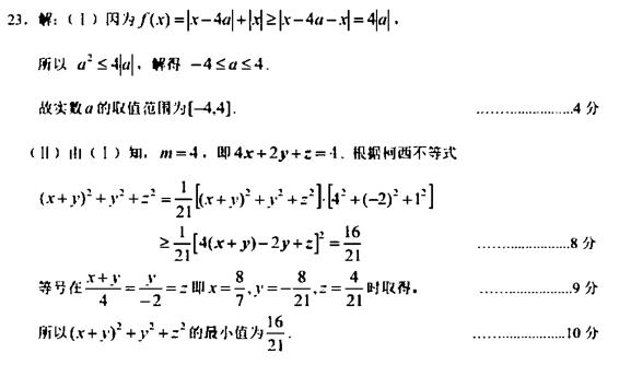
2019东北三省三校一模文科数学试题及答案

  相关链接

  2018东北三省三校四模试题及答案汇总

  2018东北三省三校三模试题及答案汇总

  2018东北三省三校二模试题及答案汇总

  2018东北三省四市高三一模试题及答案汇总

  2018东北三省三校一模试题及答案汇总

  2017东北三省三校一模试题及答案汇总

  2017东北三省三校二模试题及答案汇总

  2017东北三省三校三模试题及答案汇总

  2017东北三省四市一模试题及答案汇总

  2017东北三省四市二模试题及答案汇总

  2017东北三省四市一模试题及答案汇总

  2017东北三省四市二模试题及答案汇总

  2016东三省三校高三二模试题及答案汇总

  2016东北三省四市教研联合体二模试题及试卷解析

  2016东北三省四市教研联合体一模试题及答案汇总

  模拟考试作用有以下几点

  第一,测试你的水平,让你知道自己所处的位置;

  第二,模拟高考应试的整个过程,让同学们在临场心理上能够有所适应。从这种与高考非常相似的考试中,你能得到许多珍贵的体会。

  模拟考试的目的是查漏补缺,对于学生来讲,考试是为了查缺补漏,发现自己的不足,然后进行针对性地学习和提高;对于家长来讲,考试的目的是为了帮助和引导孩子找出考试所暴露的问题,比如努力程度不够,学习方法不正确,学习习惯上存在问题,不会科学用脑学习效率不高等,最后使学生考取好成绩,超越自己。

  考后,学生要做好总结。

  一方面要认真审视各科成绩,看自己各个学科成绩是否均衡,判断哪个学科是自已的强科,哪个学科是自己的弱科,那些学科成绩说明自己发挥的正常,那些学科发挥得不太正常;二是要查找薄弱的原因,从基础知识掌握、解题思路和技巧的科学性等方面找出症结所在;三是要主动配合老师强化补弱措施。学生要回归课本,重新巩固基础知识,也是适应高考中低档次题目比例大的有效措施。

  新东方在线推出了48道题测出最适合你报考的大学专业 参考适合你填报的大学专业。 估分选大学,通过大数据,选出适合你报考的大学。

  新东方在线小编整理了历年高考试题及答案高考分数线高考作文高考满分作文2018高考录取分数线汇总2018高考录取投档线2018高考一分一段分段表供参考。

新东方在线高考地方站
北京天津河北山西内蒙古辽宁吉林黑龙江
上海江苏浙江安徽福建江西山东河南
湖北湖南重庆四川贵州云南西藏陕西
甘肃青海宁夏新疆广东广西海南


高中课程
  • 高考

    2021高考全程班

    学习高中各科知识点

    适合人群:高三学生

    点击查看
  • 高一

    高一秋季课程

    新东方在线名师讲解高一各科知识点

    适合人群:新高一学生

    立即扫码
  • 高考

    高二秋季课程

    学习高二各科知识点

    适合人群:新高二学生

    点击查看
  • 高考

    高三秋季课程

    高三各科知识点学习

    适合人群:新高三学生

    点击查看
  • 历年高考试题及答案

    历年高考试题及答案

    近5年各省市高考真题免费下载

    祝考生们考得好成绩。

    点击下载
更多>>
更多内容

小初高全科知识合集+暑假预习资料包

扫码下方二维码领取

更多>>
  • 07月23日-07月31日

    高三数学暑假班

    梳理三角形、立体几何等内容,总结常用做题方法

    价格 : ¥880元

    购买
更多课程>>
更多>>
更多课程>>
更多>>
更多资料>>